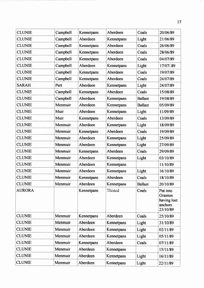
Shipping Registers by administrator | Nov 23, 2011 | Ports These are fairly comprehensive records of the ships and their cargo entering or leaving Kennetpans in the 1800s. These records were kindly compiled and supplied by Ernie from Dundee. Thanks Ernie.